福建省百校联考2025届高三11月测评数学试题带答案(图片版)-必威
时间:
泽慧
高考试卷
福建百校2024-2025学年高三11月联考于11月15日开考。下面是关于福建省百校联考2025届高三11月测评数学试题带答案的相关内容,希望对大家有所帮助!
2025福建百校高三11月联考数学试题



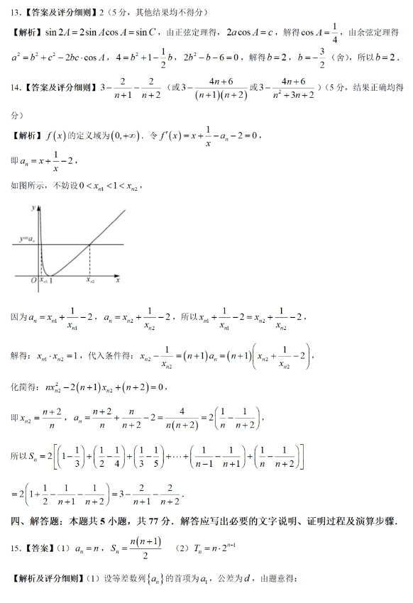
2025福建百校高三11月联考数学试题参考答案









福建省百校2025届高三11月联考试题的特点
语文:更注重学生的阅读理解和写作能力。
数学:将应用题和创新题结合,考查逻辑思维与实际问题解决能力。
英语:听说读写综合能力的全面评估,特别是听力和口语部分的权重上升。
综合科目:通过案例分析等形式,增强实践性。
高三联考成绩有什么用?
高三联考,一种多所高校联合进行的考试,旨在帮助学生提前适应高考环境。联考成绩对于学生而言,不仅意味着即将面临的高考压力,还能够让他们认清自己的实力和位置。联考让每一位参与的学生感受到紧迫感,激发他们的学习动力,明白自身需要付出更多努力以求更好的成绩和未来。
在提高成绩方面,高效的时间管理至关重要。制定清晰的学习计划,合理安排时间,确保有足够的时间用于学习、休息和娱乐,以保持良好的学习状态。在课堂上集中注意力,积极参与,利用好每一分钟,做好笔记,跟上老师的教学步伐。
充分利用课堂时间,积极思考,紧跟老师的思路,这不仅能帮助学生更好地吸收知识,还能在课后节省更多时间用于复习和巩固。课后复习课堂笔记和教材,进行相关习题练习,对于加深理解、强化记忆具有重要作用。定期复习不仅有助于加深对知识的记忆,还能有效提升考试成绩。
通过科学合理的时间管理、高效利用课堂时间以及定期复习,高三学子能够有效提高成绩,为高考做好充分准备,为自己的未来打下坚实的基础。